SAT-Exponents

When you write something as am, it means that (a x a x a x a…. m times), where a is known as the base and m is known as power/exponent/radical.

For example, 23 = 2 x 2 x 2 = 8

Four Basic Properties

A tip: Whenever bases are equal on RHS and LHS, you can compare the powers.

Based on the above four properties, try this question;

Find the value of (80 + 41)2

Solution: 80 = 1; 41 = 4;

hence (1+4)2 = 5 x 2 = 10

Try another one:

If N = 232 and NN = 2k, where k = 2m, find the value of m?

Solution:

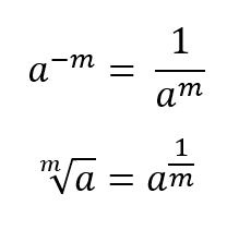
Moving on, let’s have a look at another set of properties;

Let’s take an example in form of question;

More Properties

Try questions based on above properties;

Solve for a, if: 4√6 = √3a.

Solution: 4√6 = 4(√2 x √3);

4(√2 x √3) = √3a

4√2 = a. Now one can solve this further.

4 = 22 and √2 = 21/2 hence

4√2 = 22+1/2 = 25/2

So, a = 25/2

Try another question based on the properties:

Space for YouTube Video

Try the below questions once you have gone through the above video;

SAT-Exponents

error: Content is protected !!